首页
关于欧普
产品中心
科技创新
新闻中心
服务与支持
人才招聘
乐鱼leyu(中国)
产品中心
Our Product
乐鱼游戏官网登录
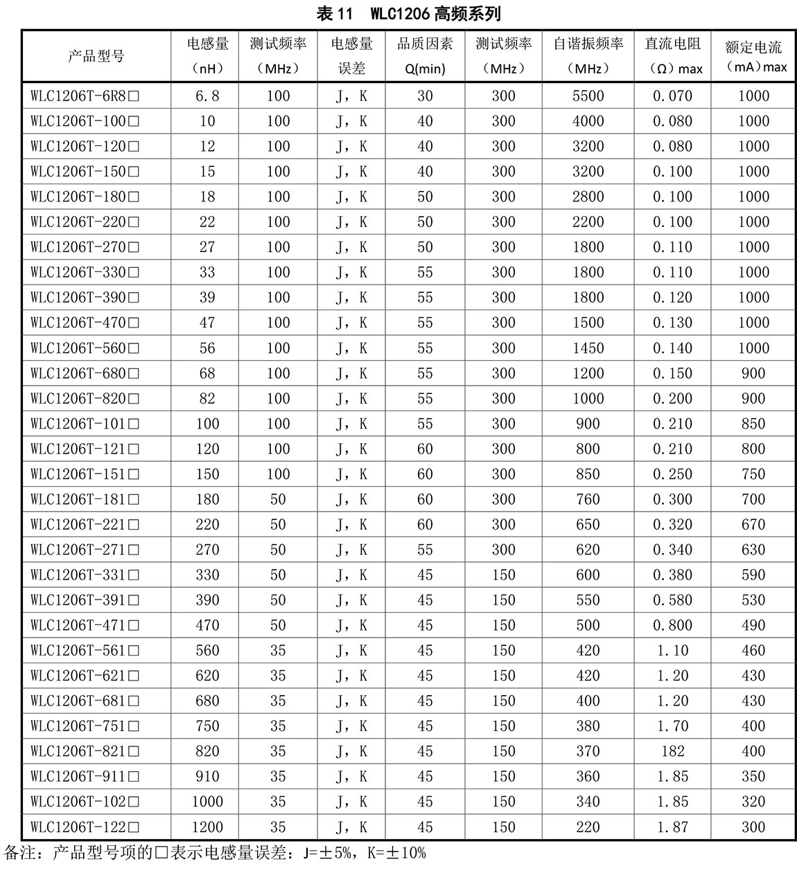
预定用途:体积小、重量轻;适应载流焊与回流焊;电性能稳定,可靠性高;装配成本低,并与自动装贴设备匹配;机械强度高,高频特性优越。
在线咨询
产品描述
开元官方网站
|
华体会网页版
|
九州网页版
|
开云手机在线
|
欧宝网页版登录入口
|
华体网页版
|
欧宝网页版登录界面
|
欧宝app官方端web站登入
|
球友会网页版
|